Hinweis

Für dieses multimediale Reportage-Format nutzen wir neben Texten und Fotos auch Audios und Videos. Daher sollten die Lautsprecher des Systems eingeschaltet sein.

Mit dem Mausrad oder den Pfeiltasten auf der Tastatur wird die jeweils nächste Kapitelseite aufgerufen.

Durch Wischen wird die jeweils nächste Kapitelseite aufgerufen.

Los geht's

bioraffinerie-entdecken

Logo https://biooekonomie.pageflow.io/bioraffinerie-entdecken

Die Bioraffinerie

Nach oben scrollen
Nach links scrollen
Nach rechts scrollen
Nach unten scrollen

Starte Kapitel 1

Herkunft und Nachhaltigkeit

Starte Kapitel 3

Das biologische Herz der Bioraffinerie

Starte Einführung

Was ist eine Bioraffinerie?

Starte Kapitel 4

Produktvielfalt für die Bioökonomie

Starte Kapitel 2

Hacken, lösen, verzuckern

Zum Anfang

Intro

Willkommen zu unserer Multimedia-Story "Entdeckungstour durch eine Bioraffinerie".

Bevor die Entdeckungsreise beginnt, gibt es hier eine kurze Einführung dazu, was eine Bioraffinerie überhaupt genau ist. Was unterscheidet sie von herkömmlichen Erdölraffinerien und was hat sie mit diesen gemeinsam? Welche Vorteile bringen Bioraffinerien mit sich und wieso sind sie wichtig für eine nachhaltige Bioökonomie?


Mit dem Mausrad kannst Du ganz einfach zwischen den Seiten hin- und herscrollen.

Zum Anfang
Bioraffinerien sind nachhaltige Fabriken der Zukunft: Sie können dabei helfen, aus Reststoffen wichtige Chemikalien herzustellen und dadurch Rohstoffkreisläufe zu schließen.

Dabei nutzen sie biologische Prozesse – sowohl für die Aufspaltung der Biomasse, als auch für den Aufbau neuer Produkte aus den gewonnenen biologischen Bausteinen.
Konkret bedeutet dies, dass Mikroorganismen oder ihre Enzyme zum Einsatz kommen und herkömmliche Prozesse aus der fossilen Industrie ersetzen und ganz neue Produkte ermöglichen.


(Paul Cheranev / shutterstock)

Zum Anfang
0:00
/
0:00
Audio jetzt starten
Dr. Gerd Unkelbach war Leiter des Fraunhofer CBP in Leuna und Koordinator des Geschäftsfelds Nachhaltige Chemie am Fraunhofer IGB .

Er erklärt, wie Bioraffinerien grundsätzlich funktionieren. Fünf Typen von Bioraffinerien unterscheidet man anhand der Ausgangsstoffe, die in ihnen verwertet werden:
  • Zucker-
  • Pflanzenöl-
  • Synthesegas-
  • Biogas-
  • Lignocellulose-Bioraffinerien
Dies ist eine Audioseite. Um etwas zu hören, muss die Lautstärke auf Deinem Gerät entsprechend eingestellt sein.

Audio öffnen

Zum Anfang
In dieser Multimedia-Story geht es um die Nutzung von verholzter Biomasse in sog. Lignocellulose-Bioraffinerien.

Illustrationen, Videos, Erklärungen von Forschenden und interaktive Elemente geben einen Überblick über nachhaltige Quellen von Biomasse, die einzelnen Schritte und Funktionen sowie die Produkte einer Lignocellulose-Bioraffinerie.

Auf diesem Foto ist eine kürzlich fertiggestellte Bioraffinerie dieser Art im rumänischen Podari zu sehen. Sie wird von der Firma Clariant betrieben und stellt aus Stroh biobasierte Chemikalien her.




Zum Anfang
In Leuna betreibt das Fraunhofer CBP eine Pilotanlage, die alle Komponenten einer Lignocellulose-Bioraffinerie umfasst. Dieser Drohnenflug gibt einen Eindruck von der Anlage.

Einige der Komponenten und die wichtigsten Vorgänge in solchen Bioraffinerien werden in den nächsten Kapiteln erklärt.
Zum Anfang
Am Ende eines Kapitels gelangst Du zurück zum Hauptmenü.

Und jetzt: viel Spaß beim Entdecken!
Zum Anfang

Biomasse

Die nachhaltige Nutzung von Biomasse ist ein zentraler Baustein der Bioökonomie. Doch Biomasse ist nicht gleich Biomasse: Sie unterscheidet sich stark in Herkunft, Zusammensetzung und der Nachhaltigkeit ihrer Gewinnung.

Diese Multimedia-Story fokussiert verholzte Biomasse, sog. Lignocellulose. Ihre Nutzung steht nicht in direkter Konkurrenz zur Lebensmittelproduktion. Doch Lignocellulose, das ist nicht nur Holz, wie wir es kennen.
Zum Anfang
Nach oben scrollen
Nach links scrollen
Nach rechts scrollen
Nach unten scrollen

Wald

Rest aus Sägewerken

Stroh

Miscanthus

Zum Anfang
"Biokraftstoffe der ersten Generation werden aus der Stärke von Getreide- oder Maiskörnern sowie Zucker aus Zuckerrohr oder -rübe produziert. Clariant hingegen hat mit dem sunliquid® Prozess ein Verfahren der zweiten Generation entwickelt, welches landwirtschaftliche Pflanzenreste in Zelluloseethanol umwandelt. Die als Rohstoff benötigte Biomasse für den Sunliquid®-Prozess muss also nicht angebaut werden, sondern fällt als pflanzlicher Reststoff bei der Getreideproduktion an und konkurriert somit nicht mit der Herstellung von Lebensmitteln oder Futtermitteln."

Thomas Hoppe, Head of Operations bei Business Line Biofuels & Derivatives, Clariant

Zum Anfang
0:00
/
0:00
Audio jetzt starten
Prof. Dr. Daniela Thrän erforscht am Helmholtz-Zentrum für Umweltforschung (UFZ) und am Deutschen Biomasse Forschungszentrum (DBFZ), welche Chancen und Risiken mit der Nutzung von Biomasse für die Energie- und Materialversorgung verbunden sind.
Sie nimmt Technologien, deren Potenziale und Umweltwirkungen sowie die Erwartungen der Gesellschaft unter die Lupe. Sie ist auch Co-Vorsitzende des Bioökonomierats.

Audio öffnen

Zum Anfang
Dr. Alex Giurca forscht am Heidelberg Center for the Environment (HCE) an forstbasierter Bioökonomie. Er interessiert sich dafür, wie wir den Wald gleichzeitig nutzen und schützen können.
Zum Anfang
Biomasse ist ein komplexes Gemisch aus vielen unterschiedlichen, organischen Molekülen. Verholzte Biomasse ist hauptsächlich aus drei Gruppen von sogenannten Polymeren aufgebaut, also langen Ketten einzelner Moleküle:


Cellulose besteht aus aneinander geketteten Glucosemolekülen und bildet die Stützwand von Pflanzen. Sie ist die am häufigsten vorkommende organische Verbindung auf der Erde.

Hemicellulose ist ein Sammelbegriff für verschiedene weitere Polymere, die aus unterschiedlichen Zuckern bestehen.

Lignin sorgt für die Verholzung von Biomasse, indem sie ihr Druckfestigkeit verleiht. Lignin kann riesige Geflechte bilden.
Zum Anfang
0:00
/
0:00
Audio jetzt starten
Bioraffinerien sollen die verschiedenen Komponenten, die in Biomasse enthalten sind, nutzbar machen.

An der Technischen Universität München leitet Prof. Dr. Volker Sieber den Campus Straubing und forscht dort unter anderem daran, technische Prozesse zu entwickeln, mit denen aus Biomasse wichtige Chemikalien hergestellt werden können.

Audio öffnen

Zum Anfang
Biomasse kann also aus verschiedensten Quellen gewonnen werden und nicht alle sind nachhaltig.

Verholzte Biomasse fällt jedoch in der Land- und Forstwirtschaft an und kann auf Flächen angebaut werden, die für den Anbau von Lebensmitteln nicht in Frage kommen. 

Bevor man sie jedoch für die biobasierte Produktion in Bioraffinerien nutzen kann, muss sie entsprechend vorbereitet werden. Darum geht es im nächsten Kapitel.
Zum Anfang
Zum Anfang

Vorbereitung der Biomasse

Bei verholzter Biomasse handelt es sich nicht um ein gleichförmiges Material.
Es ist aus vielen unterschiedlichen Komponenten aufgebaut. Diese organischen Moleküle sind miteinander verbunden und bilden das, was wir als Holz kennen.

Für die Verarbeitung in Bioraffinerien stellt diese Komplexität eine Herausforderung dar. Denn ein bestimmtes, reines Produkt lässt sich am einfachsten aus einem einzelnen Ausgangsstoff herstellen.
Dieses Kapitel gibt einen Einblick in die Vorbereitung der verholzten Biomasse für die weitere Verarbeitung.
Zum Anfang
0:00
/
0:00
Audio jetzt starten
Dr. Christine Rasche ist Leiterin des Innovationsfeldes Regenerative Ressourcen am Fraunhofer-Zentrum für Chemisch-Biotechnologische Prozesse CBP. Sie erklärt, wie verholzte Biomasse aufgebaut ist.

Audio öffnen

Zum Anfang
Für den weiteren Aufschluss der Biomasse müssen grobe Teile zunächst zerkleinert werden.

Scrolle weiter, um die Holzreste zu zerkleinern!
Zum Anfang
...sehr gut, noch ein bisschen mehr!
Zum Anfang
Das sollte ausreichen. Die verholzte Biomasse ist nun zerkleinert und bereit für den nächsten Schritt.
Zum Anfang
0:00
/
0:00
Audio jetzt starten
Dr. Christine Rasche forscht am Fraunhofer-Zentrum für Chemisch-Biotechnologische Prozesse CBP und ist Leiterin des Innovationsfelds Regenerative Ressourcen. Sie erklärt, wie die Auftrennung verholzter Biomasse funktioniert.

Audio öffnen

Zum Anfang
Nach oben scrollen
Nach links scrollen
Nach rechts scrollen
Nach unten scrollen
Zum Anfang
Ligninmoleküle lagern sich zu großen, komplexen Strukturen zusammen. Verholzte Pflanzen bestehen in ihrer Trockenmasse aus bis zu 30% Lignin. Es gehört zu den häufigsten organischen Verbindungen auf der Erde.

Das gewonnene Lignin wird in vielen Anlagen als Brennstoff dazu genutzt, einen Teil des Energiebedarfes der Anlage zu decken. Doch aus dem komplexen biobasierten Rohstoff können inzwischen durch innovative Verfahren auch viele interessante Produkte hergestellt werden.


Zum Anfang
0:00
/
0:00
Audio jetzt starten
Dr. Christine Rasche (Fraunhofer CBP) hat sich unter anderem auf die Gewinnung und Weiterverarbeitung von Lignin spezialisiert.

Audio öffnen

Zum Anfang
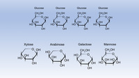
Doch wie geht es mit Cellulose und Hemicellulose weiter?

Diese großen Moleküle werden auch Mehrfachzucker oder Polysaccharide genannt. Sie müssen in einem weiteren Schritt noch in ihre einzelnen Bausteine aufgespalten werden – in unterschiedliche Arten von Zucker. Denn die meisten Mikroorganismen, die in Bioraffinerien Verwendung finden, bevorzugen als Nahrungsquelle einzelne und ganz bestimmte Zucker.
Zum Anfang
Schließen
Vorher/Nacher Ansicht

Vorher/Nachher-Ansicht starten
Cellulose und Hemicellulose sind lange Ketten einzelner Zucker. Während das bei Cellulose ausschließlich Glucose ist, gibt es zahlreiche andere Arten von Zucker, die in Form von Hemicellulose auftreten: Arabinose, Xylose, Galactose und Mannose sind einige davon.
Diese biologische Vielfalt an Zuckermolekülen ist ein Schatz und gleichzeitig eine Herausforderung.

Für die weiteren Schritte müssen die Zucker zunächst voneinander getrennt werden. Dies übernehmen bestimmte Enzyme in einem Vorgang, den man Verzuckerung nennt.

(Klicke unten auf Start, um die Vorher/Nachher-Funktion zu aktivieren.)
Zum Anfang
Nun, da die Biomasse in ihre einzelnen Bausteine zerlegt wurde, ist sie bereit für die biologische Aufwertung hin zu spannenden Produkten.
Wie das funktioniert, erfahrt ihr im nächsten Kapitel.
Zum Anfang
Zum Anfang

Bioreaktor

Der Bioreaktor ist das biologische Herz einer Bioraffinerie. Er stellt eine abgeschlossene Umwelt dar, die perfekt auf die Mikroorganismen abgestimmt ist, die darin leben sollen.

Die Umwandlung von Stoffen durch Mikroorganismen, bzw. durch ihre Enzyme, nennt man Fermentation. Deshalb wird ein Bioreaktor auch oft  als Fermenter bezeichnet.

Auf den folgenden Seiten wollen wir in das Innere eines Bioreaktors schauen und verstehen, wie er grob aufgebaut ist und welche die wichtigsten Funktionen sind.
Zum Anfang
In einem Bioreaktor sollen an allen Stellen möglichst gleichförmige Bedingungen herrschen. So wachsen und arbeiten die Mikroorganismen auch gleichmäßiger und sind mit allem versorgt, was sie dafür brauchen: zum Beispiel die optimale Temperatur und die richtige Menge Sauerstoff.

Auch der zugeführte Zucker, also das Futter der Mikroorganismen, soll gut durchmischt sein, damit er bestmöglich umgewandelt werden kann.

In einer modernen Bioraffinerie überwachen Sensoren die Konzentration von gewollten und ungewollten Substanzen in der Flüssigkeit in Echtzeit. Auch dafür ist eine gute Durchmischung wichtig.
Zum Anfang
Gefüllt ist ein Bioreaktor mit einem Nährmedium. Dieses enthält alles, was die Mikroorganismen zum Leben brauchen. Dazu gehört zum Beispiel eine Stickstoffquelle, das richtige Verhältnis von Säuren zu Basen (pH-Wert) und einiges mehr.

Diesem Medium wird dann der vorbereitete Ausgangsstoff (z. B. Zucker) zugemischt, damit die Mikroorganismen ihre Arbeit verrichten können.
Zum Anfang
Traditionell läuft Fermentation ohne Sauerstoff ab (anaerob), wie zum Beispiel bei der Herstellung von Joghurt oder Sauerkraut. In Bioraffinerien kommt aber häufig eine sogenannte aerobe Umwandlung zum Einsatz, bei der die Mikroorganismen für ihre Arbeit Sauerstoff brauchen. Dieser wird dann durch das Medium gesprudelt.

Auch in manchen Bioraffinerien findet eine Fermentation ohne Sauerstoff statt. Wenn zum Beispiel Abgase aus Fabriken in Bioreaktoren zu Biokraftstoffen umgewandelt werden sollen.
Zum Anfang
Moderne Bioraffinerien sind natürlich auch mit der neuesten digitalen Technik ausgestattet.
Das Geschehen in einem Bioreaktor kann in Echtzeit beobachtet und gesteuert werden. Sensoren messen beispielsweise die Konzentration des Substrates und des Produktes, um den Prozess der Umwandlung zu optimieren.

Automatisierung, Digitalisierung, Biotechnologie und weitere Disziplinen gehen hier immer mehr Hand in Hand.
Zum Anfang
Wenn alle diese Voraussetzungen erfüllt sind, bietet ein Bioreaktor eine passende, künstliche Umwelt für Mikroorganismen. Allerdings gibt es zahlreiche unterschiedliche Arten von Mikroorganismen, weshalb sich auch die optimalen Bedingungen jeweils unterscheiden.

Auf der nächsten Seite sehen wir uns das Leben im Bioreaktor noch etwas genauer an.


(Paul Cheranev / shutterstock)
Zum Anfang
Nach oben scrollen
Nach links scrollen
Nach rechts scrollen
Nach unten scrollen
Zum Anfang
0:00
/
0:00
Audio jetzt starten
Dr. Grzegorz Kubik ist Leiter des Innovationsfeldes Industrielle Biotechnologie am Fraunhofer-Institut für Grenzflächen- und Bioverfahrenstechnik IGB.
Er erklärt, wie die uralte Methode der Fermentation von der Biotechnologie wiederentdeckt und für die Produktion biobasierter Produkte in Bioraffinerien revolutioniert wird.

Audio öffnen

Zum Anfang
Die eigentliche Arbeit in einem Bioreaktor verrichten letztendlich Enzyme. Das sind spezialisierte Proteine, die einen Ausgangsstoff (Substrat) in ein bestimmtes Produkt umsetzen. In unserem Körper, in Pflanzen und Tieren und auch in Mikroorganismen arbeiten ganze Ketten solcher Enzyme zusammen, um einen komplexen Stoffwechsel zu bilden.

Für die gezielte Produktion in Bioraffinerien werden statt Mikroorganismen inzwischen auch häufig nur genau jene Enzyme verwendet, welche die gewollten Reaktionen durchführen. Sie arbeiten dann ganz ohne Zelle drumherum, in sogenannten "zellfreien Systemen".
Zum Anfang
0:00
/
0:00
Audio jetzt starten
An der Technischen Universität München leitet Prof. Dr. Volker Sieber den Campus Straubing und forscht dort unter anderem daran, technische Prozesse zu entwickeln, mit denen aus Biomasse wichtige Chemikalien hergestellt werden können.

Dabei kommen auch Bioreaktoren mit zellfreien Systemen zum Einsatz.

Audio öffnen

Zum Anfang
In Bioreaktoren sind also spezielle Mikroorganismen am Werk, die als Multitalente der Bioökonomie aus Zuckern verschiedene Produkte herstellen können. Alternativ können auch verschiedene Enzym-Teams in zellfreien Systemen arbeiten.

Man macht sich also das durch Forschung immer weiter wachsende Wissen über die Natur zunutze, um gezielter und nachhaltiger zu produzieren.

Welche Produkte dabei entstehen können, darum geht es im nächsten Kapitel.
Zum Anfang
Zum Anfang

Produkte

Bioraffinerien funktionieren prinzipiell zwar so wie Erdölraffinerien, aber wir haben schon einige Unterschiede in der konkreten Funktionsweise vorgestellt. Zum Beispiel muss Biomasse anders vorbereitet werden und in einer Bioraffinerie sind Mikroorganismen bzw. deren Enzyme am Werk.
Und auch im Hinblick auf die Verfahren, die für die Herstellung des finalen Produktes nötig sind, gibt es deutliche Unterschiede. Diese resultieren hauptsächlich aus der unterschiedlichen Beschaffenheit des Ausgangsmaterials Biomasse.
Zum Anfang
Einige Produkte benötigen keine weiteren Zwischenschritte und werden direkt im Bioreaktor produziert. Dazu gehören zum Beispiel Zitronensäure, Aminosäuren und Vitamine.

Diese Stoffe werden isoliert und aufgereinigt und können dann beispielsweise für Futter- oder Lebensmittel verwendet werden.


Zum Anfang
Bioraffinerien produzieren größtenteils keine Endprodukte. Vielmehr stellen sie für die weiterverarbeitende Industrie nachhaltig produzierte Zwischenprodukte zur Verfügung, sogenannte Plattformchemikalien.
Aus diesen können ganz unterschiedliche weitere Zwischenprodukte und schließlich Dinge aus unser aller Alltag entstehen.
Zum Anfang
0:00
/
0:00
Audio jetzt starten
Dr. Jörn Viell forscht an der Aachener Verfahrenstechnik (AVT) der RWTH Aachen unter anderem daran, die Produkte von Bioraffinerien zu optimieren.

Eine Herausforderung ist dabei die Beschaffenheit von Biomasse, die sich von Erdöl sehr unterscheidet.

Audio öffnen

Zum Anfang
Nach oben scrollen
Nach links scrollen
Nach rechts scrollen
Nach unten scrollen
Zum Anfang
Schließen
Eines der vielen möglichen Produkte einer Bioraffinerie sind Biotenside.

In diesem Video erklärt Dr.-Ing. Susanne Zibek vom Fraunhofer Institut für Grenzflächen- und Bioverfahrenstechnik IGB, was es mit diesen ganz besonderen biobasierten Chemikalien auf sich hat.
Ich bin damit einverstanden, dass mir YouTube Videos gezeigt werden. Mehr Informationen

Um externe Dienste auszuschalten, hier Einstellungen ändern.

Zum Anfang
Erinnerst Du Dich?

In Kapitel 2 wurden Lignin, Cellulose und Hemicellulose voneinander getrennt. Die letzten beiden wurden verzuckert und dann im Bioreaktor weiterverarbeitet. Doch auch aus dem Lignin können durch innovative Verfahren neue Produkte entstehen.
Zum Anfang
0:00
/
0:00
Audio jetzt starten
Dr. Christine Rasche forscht am Fraunhofer-Zentrum für Chemisch-Biotechnologische Prozesse CBP und ist Leiterin des Innovationsfelds Regenerative Ressourcen.
Mit ihre Arbeit verfolgt sie unter anderem das Ziel, aus Lignin hochwertige, biobasierte Produkte zu entwickeln. 

Audio öffnen

Zum Anfang
Bioraffinerien und andere Technologien können uns helfen, verholzte Biomasse aus Wäldern und von Feldern nachhaltiger zu nutzen und Produkte aus Erdöl zu ersetzen. Biopionier Dr. Alex Giurca teilt seine Vision mit uns.
Zum Anfang
Hier endet unsere Multimedia-Story "Entdeckungstour durch eine Bioraffinerie"!

Wir freuen uns, wenn Du anderen von dieser Multimedia-Story erzählst, sie in den sozialen Medien teilst und unserer Webseite www.bioökonomie.de mal einen Besuch abstattest. Dort finden sich noch viel mehr Informationen und unterhaltsame Formate rund um  das Thema Bioökonomie.

bioökonomie.de und diese Multimedia-Story werden vom Bundesministerium für Bildung und Forschung (BMBF) gefördert und durch BIOCOM umgesetzt.

Konzeption und Texte: Martin Reich und Philipp Graf, BIOCOM

Illustrationen: Daria Chrobok, DC SciArt


Zum Anfang
Zum Anfang

Wälder sind für Menschen schon seit Jahrtausenden eine Quelle für Brennstoff, Baumaterial, Zellstoff (Papier) und einiges mehr. In der Vergangenheit und auch heute noch hat eine Übernutzung oder sogar Rodung viele Wälder zerstört. Das ist ein großes Problem, denn Wälder sind nicht nur ein Lebensraum für viele Tierarten, sondern erbringen für uns wichtige Leistungen, u. a. beim Klimaschutz und der Reinigung von Trinkwasser.
Zum Anfang
Seit einigen Jahrzehnten nimmt die Waldfläche in Europa wieder zu. Eine nachhaltige Forstwirtschaft kann Holz aus Wäldern nutzbar machen, ohne diesen zu schaden. Doch die Frage ist, wie viel Holz eine solche Forstwirtschaft liefern kann? Es gibt noch weitere Quellen von Lignocellulose, scrolle zurück und entdecke sie.
Zum Anfang

Bei der Verarbeitung von Baumstämmen zu Schnittholz fällt 40 bis 60% des Holzes als Rest an. Es kommen also große Mengen zusammen.

Diese sog. Sägenebenprodukte werden z. B. für die Herstellung von Spanplatten, Papier oder Holzpellets verarbeitet. Sie können aber auch als Rohstoff für Lignocellulose-Bioraffinerien dienen.

Zum Anfang

Bei der Ernte von Getreide für die Produktion von Lebensmitteln bleibt einiges an Biomasse übrig, denn nur die Körner in den Ähren von Weizen und Co. werden zu Mehl verarbeitet. Vor allem die Halme der Pflanzen fallen als Stroh in großen Mengen an. Auch Stroh ist verholzte Biomasse und kann als Rohstoff für Lignocellulose-Bioraffinerien dienen.
Zum Anfang

Miscanthus (auch: Chinaschilf) ist ein Gras, das ursprünglich aus Ostasien stammt und dessen Anbau aus mehreren Gründen für die Produktion von Biomasse interessant ist. Erstens wächst es auch auf Standorten, die für den Anbau von Getreide und anderen Nutzpflanzen, aus denen man Lebensmittel herstellt, ungeeignet sind, zum Beispiel auf verschmutzten Böden. Zweitens handelt es sich bei Miscanthus um eine ausdauernde Pflanzenart. Das bedeutet, dass sie nicht jedes Jahr neu ausgesät werden muss, sondern nach dem Schnitt wieder nachwächst. In dieser Zeit muss der Boden nicht bearbeitet, zum Beispiel gepflügt, werden. 

Dass sich Miscanthus für die Verarbeitung in einer Lignocellulose-Bioraffinerie eignet, wurde bereits erfolgreich in der Anlage von Clariant in Straubing bei München getestet.
Zum Anfang

Cellulose

Mikroorganismen

Man kennt es von Spaziergängen im Wald: Pilze wachsen gern in absterbendem Holz. Doch es gibt noch viel mehr Pilzarten, als jene, die uns wegen ihrer Hüte auffallen. Die meisten bilden ein kaum sichtbares Geflecht im Boden und in absterbenden Pflanzenteilen.

Pilze übernehmen damit eine wichtige Aufgabe im Ökosystem, nämlich die Zersetzung der großen Holzmoleküle in kleinere Bestandteile. So werden die in Bäumen gespeicherten Nährstoffe wieder dem natürlichen Kreislauf zugeführt.

Manche Pilze, bzw. ihre Enzyme, sind besonders gut darin, Holz zu zersetzen. Diese Pilzarten sind interessante Kandidaten für Bioraffinerien, in denen Lignocellulose verarbeitet werden soll. Forschende untersuchen deshalb ihre Zellbiologie und Genetik sehr genau, um ihre Funktionen besser zu verstehen und die Pilze für ihren Einsatz in Bioraffinerien zu optimieren.
Zum Anfang

Hefen

Hefe ist ein Sammelbegriff für eine zu den Schlauchpilzen gehörende Gruppe von Mikroorganismen. Die am häufigsten verwendete Gattung ist Saccharomyces cerevisiae, die Brauhefe. Seit Jahrhunderten verwendet man Hefe zum Backen und Bierbrauen. Für Forschende sind Hefen sehr interessante Modellorganismen, mit denen sich viele neue Erkenntnisse gewinnen lassen. Mit neuester Biotechnologie kann man sie auch für Bioraffinerien nutzbar machen, in denen sie dann ganz bestimmte Produkte synthetisieren.
Zum Anfang

Bakterien

Es gibt unzählige Arten von Bakterien mit ganz unterschiedlichen Eigenschaften. Viele von ihnen sind noch gar nicht entdeckt oder kaum studiert. Dabei könnten viele von ihnen Eigenschaften haben, die für die Bioökonomie interessant sind. Ein Beispiel für ein bereits sehr gut untersuchtes Bakterium ist Escherichia coli. Sein Genom ist komplett entschlüsselt, weshalb es ein sehr geeignetes Werkzeug der Bioökonomie darstellt. Es gibt aber noch zahlreiche weitere Bakterien, die man teilweise an sehr unwirtlichen Orten der Erde findet, wie zum Beispiel in heißen Schwefelquellen oder am Grund der Tiefsee. Diese Bakterien haben für die Biotechnologie oft ganz besonders spannende Eigenschaften.
Zum Anfang

Nach oben scrollen
Nach links scrollen
Nach rechts scrollen
Nach unten scrollen
Zum Anfang

Zum Anfang

Zum Anfang

Zum Anfang

Zum Anfang

Zum Anfang

Zum Anfang
Scrollen, um weiterzulesen Wischen, um weiterzulesen
Wischen, um Text einzublenden